生物结构中超声波的传播与衰减一直是生物力学领域的研究热点之一。日前,我院禹建功教授团队在国际TOP期刊《Composite Structures》(影响因子6.603)发表学术论文《Propagation and attenuation of Lamb waves in functionally graded fractional viscoelastic soft plates with a pre-deformation》。张博老师为第一作者,禹建功教授为通讯作者。
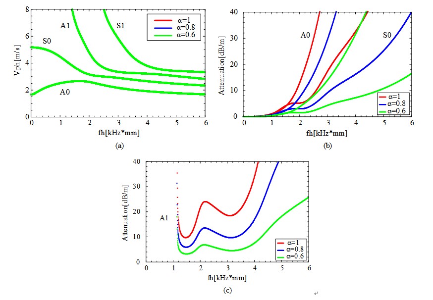
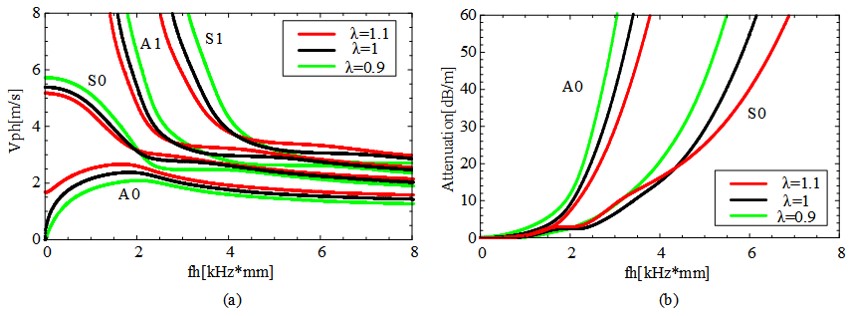
生物结构具有复杂的力学特性,如不可压缩、粘弹性、预应力等,给其波动力学研究带来了巨大挑战。禹建功教授团队提出一种分数阶超粘弹波动力学模型,研究了功能梯度软板中的超声导波传播与衰减,揭示了分数阶次和预变形对导波传播和衰减的影响规律,为超声导波弹性成像、再生生物材料的设计与制造奠定了一定的理论基础。
本研究得到了国家自然科学基金(No. 12102131和No.51975189)、河南理工大学科技创新团队(T2022-4)、河南理工大学博士基金(B2021-32, B2018-20)等项目资助。
论文链接:https://doi.org/10.1016/j.compstruct.2022.115727

图1 功能梯度不可压缩软板示意图

图2 不同分数阶次下的频散和衰减曲线

图3 不同预变形下的频散和衰减曲线